Zinc Nitrate Molar Mass . zinc nitrate molecular weight. — learn how to calculate the molar mass of zn (no3)2, a chemical formula for. — learn how to calculate the molar mass of zn (no3)2 by adding the molar masses of zinc, nitrogen and oxygen atoms. enter a chemical formula to calculate its molar mass and elemental composition. zinc nitrate is a colorless, crystalline solid with the formula zn (no 3) 2. It has a molar mass of 189.3898 g/mol and is used in. Convert grams zinc nitrate to moles. Watch a short video and. learn about zinc nitrate, a white, crystalline salt with the formula zn (no3)2. Find out its molar mass, solubility, production method,. learn how to calculate the molar mass of zn (no3)2 based on its chemical formula and atomic masses. Molar mass of zn(no3)2 = 189.3898 g/mol. Zn (no3)2 (zinc nitrate) has a molar mass of.
from www.numerade.com
Convert grams zinc nitrate to moles. zinc nitrate is a colorless, crystalline solid with the formula zn (no 3) 2. zinc nitrate molecular weight. learn about zinc nitrate, a white, crystalline salt with the formula zn (no3)2. Watch a short video and. — learn how to calculate the molar mass of zn (no3)2, a chemical formula for. enter a chemical formula to calculate its molar mass and elemental composition. Zn (no3)2 (zinc nitrate) has a molar mass of. Molar mass of zn(no3)2 = 189.3898 g/mol. learn how to calculate the molar mass of zn (no3)2 based on its chemical formula and atomic masses.
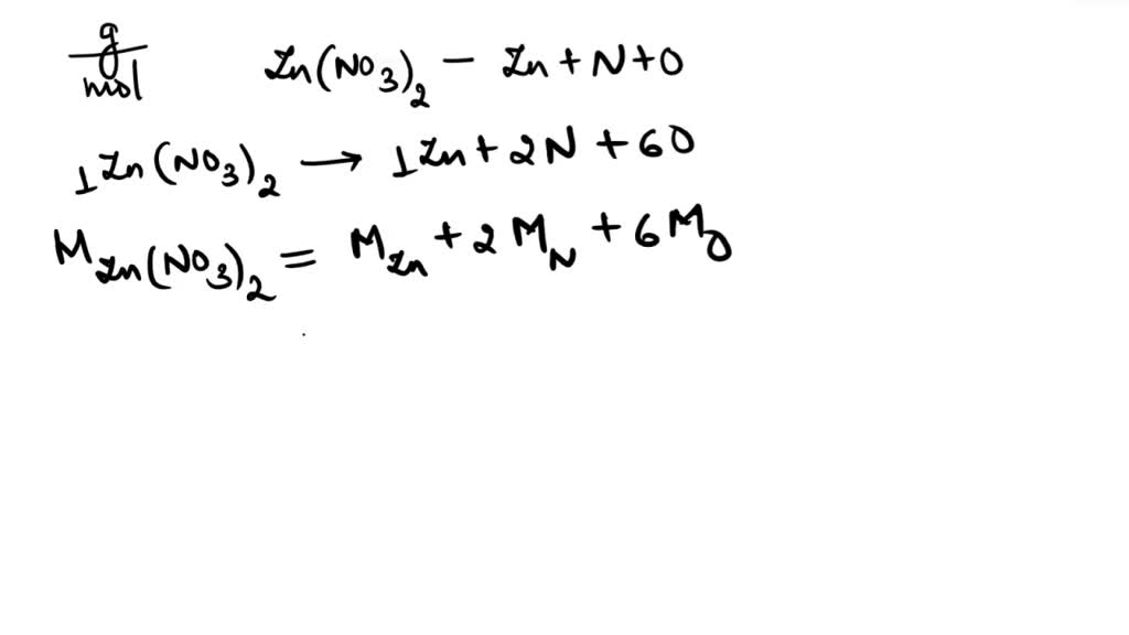
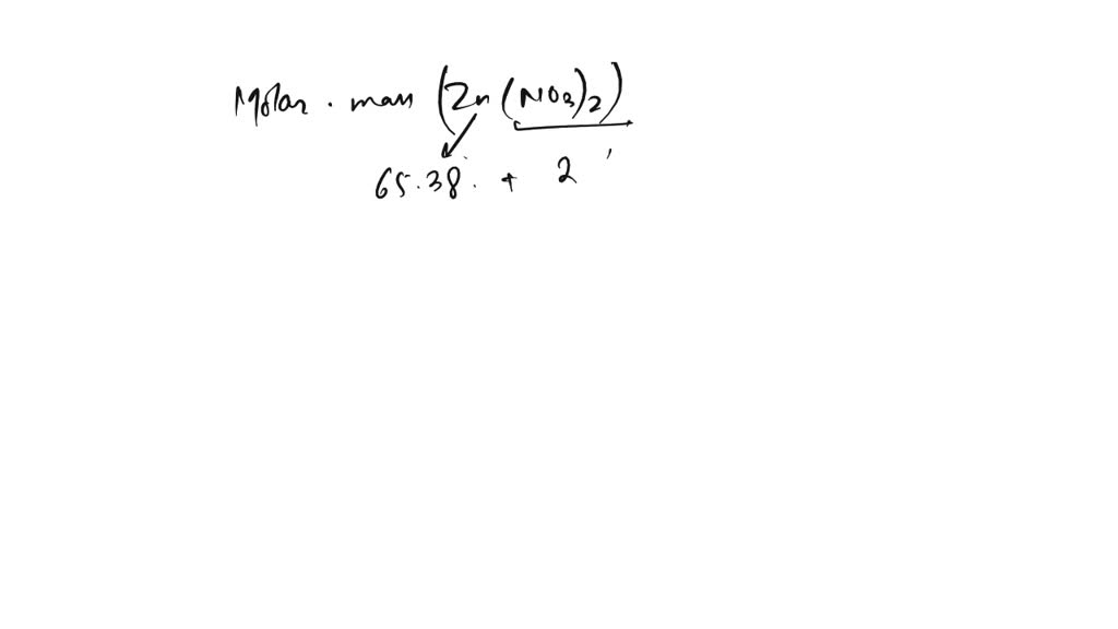
SOLVED The GagnGve mol your the 2 answer molar formula to mass for
Zinc Nitrate Molar Mass zinc nitrate molecular weight. learn how to calculate the molar mass of zn (no3)2 based on its chemical formula and atomic masses. — learn how to calculate the molar mass of zn (no3)2, a chemical formula for. Molar mass of zn(no3)2 = 189.3898 g/mol. Zn (no3)2 (zinc nitrate) has a molar mass of. Convert grams zinc nitrate to moles. Watch a short video and. It has a molar mass of 189.3898 g/mol and is used in. enter a chemical formula to calculate its molar mass and elemental composition. Find out its molar mass, solubility, production method,. zinc nitrate molecular weight. zinc nitrate is a colorless, crystalline solid with the formula zn (no 3) 2. learn about zinc nitrate, a white, crystalline salt with the formula zn (no3)2. — learn how to calculate the molar mass of zn (no3)2 by adding the molar masses of zinc, nitrogen and oxygen atoms.
From litywindow.weebly.com
Zn molar mass periodic table litywindow Zinc Nitrate Molar Mass learn how to calculate the molar mass of zn (no3)2 based on its chemical formula and atomic masses. Convert grams zinc nitrate to moles. learn about zinc nitrate, a white, crystalline salt with the formula zn (no3)2. — learn how to calculate the molar mass of zn (no3)2, a chemical formula for. Find out its molar mass,. Zinc Nitrate Molar Mass.
From www.numerade.com
SOLVED The cherical formula for zinc nitrate IS; Zo(*O3h1 Calculate Zinc Nitrate Molar Mass learn how to calculate the molar mass of zn (no3)2 based on its chemical formula and atomic masses. learn about zinc nitrate, a white, crystalline salt with the formula zn (no3)2. Find out its molar mass, solubility, production method,. Watch a short video and. It has a molar mass of 189.3898 g/mol and is used in. —. Zinc Nitrate Molar Mass.
From www.researchgate.net
Average diameter of ZnO NRs at different molar concentrations of zinc Zinc Nitrate Molar Mass learn about zinc nitrate, a white, crystalline salt with the formula zn (no3)2. Watch a short video and. Find out its molar mass, solubility, production method,. Zn (no3)2 (zinc nitrate) has a molar mass of. Convert grams zinc nitrate to moles. — learn how to calculate the molar mass of zn (no3)2, a chemical formula for. zinc. Zinc Nitrate Molar Mass.
From www.chegg.com
Solved The Chemical Formula For Zinc Nitrate Is Z_n(NO_3... Zinc Nitrate Molar Mass enter a chemical formula to calculate its molar mass and elemental composition. zinc nitrate is a colorless, crystalline solid with the formula zn (no 3) 2. Watch a short video and. Molar mass of zn(no3)2 = 189.3898 g/mol. Zn (no3)2 (zinc nitrate) has a molar mass of. learn about zinc nitrate, a white, crystalline salt with the. Zinc Nitrate Molar Mass.
From www.numerade.com
SOLVED Determine the molar mass of zinc(II) nitrate hexahydrate Zinc Nitrate Molar Mass enter a chemical formula to calculate its molar mass and elemental composition. Find out its molar mass, solubility, production method,. learn how to calculate the molar mass of zn (no3)2 based on its chemical formula and atomic masses. — learn how to calculate the molar mass of zn (no3)2, a chemical formula for. Convert grams zinc nitrate. Zinc Nitrate Molar Mass.
From brainly.com
What is the molar mass of Zn(NO3)2 Zinc Nitrate Molar Mass Zn (no3)2 (zinc nitrate) has a molar mass of. Find out its molar mass, solubility, production method,. enter a chemical formula to calculate its molar mass and elemental composition. Molar mass of zn(no3)2 = 189.3898 g/mol. — learn how to calculate the molar mass of zn (no3)2 by adding the molar masses of zinc, nitrogen and oxygen atoms.. Zinc Nitrate Molar Mass.
From chemcraft.su
Zinc nitrate hexahydrate, 98 pure chemcraft.su Zinc Nitrate Molar Mass Convert grams zinc nitrate to moles. zinc nitrate is a colorless, crystalline solid with the formula zn (no 3) 2. — learn how to calculate the molar mass of zn (no3)2 by adding the molar masses of zinc, nitrogen and oxygen atoms. Molar mass of zn(no3)2 = 189.3898 g/mol. Find out its molar mass, solubility, production method,. . Zinc Nitrate Molar Mass.
From www.youtube.com
How to find the molar mass of Zn(NO3)2 (Zinc Nitrate) YouTube Zinc Nitrate Molar Mass It has a molar mass of 189.3898 g/mol and is used in. Convert grams zinc nitrate to moles. zinc nitrate is a colorless, crystalline solid with the formula zn (no 3) 2. Watch a short video and. enter a chemical formula to calculate its molar mass and elemental composition. — learn how to calculate the molar mass. Zinc Nitrate Molar Mass.
From www.t3db.ca
T3DB Zinc nitrate Zinc Nitrate Molar Mass zinc nitrate molecular weight. enter a chemical formula to calculate its molar mass and elemental composition. — learn how to calculate the molar mass of zn (no3)2, a chemical formula for. zinc nitrate is a colorless, crystalline solid with the formula zn (no 3) 2. learn about zinc nitrate, a white, crystalline salt with the. Zinc Nitrate Molar Mass.
From www.numerade.com
SOLVED Finding molar mass from chemical formula The chemical formula Zinc Nitrate Molar Mass It has a molar mass of 189.3898 g/mol and is used in. Molar mass of zn(no3)2 = 189.3898 g/mol. — learn how to calculate the molar mass of zn (no3)2, a chemical formula for. enter a chemical formula to calculate its molar mass and elemental composition. Convert grams zinc nitrate to moles. learn about zinc nitrate, a. Zinc Nitrate Molar Mass.
From www.numerade.com
SOLVED The chemical formula for zinc nitrate is Zn(NO) Calculate the Zinc Nitrate Molar Mass Find out its molar mass, solubility, production method,. Watch a short video and. — learn how to calculate the molar mass of zn (no3)2, a chemical formula for. Molar mass of zn(no3)2 = 189.3898 g/mol. It has a molar mass of 189.3898 g/mol and is used in. Zn (no3)2 (zinc nitrate) has a molar mass of. enter a. Zinc Nitrate Molar Mass.
From www.youtube.com
How to Balance Zn(NO3)2 = ZnO + NO2 + O2 (Zinc Nitrate Zinc Nitrate Molar Mass It has a molar mass of 189.3898 g/mol and is used in. learn about zinc nitrate, a white, crystalline salt with the formula zn (no3)2. Convert grams zinc nitrate to moles. zinc nitrate molecular weight. learn how to calculate the molar mass of zn (no3)2 based on its chemical formula and atomic masses. zinc nitrate is. Zinc Nitrate Molar Mass.
From collegedunia.com
Zinc Nitrate Structure, Formula, Preparation, Properties & Uses Zinc Nitrate Molar Mass Find out its molar mass, solubility, production method,. zinc nitrate is a colorless, crystalline solid with the formula zn (no 3) 2. learn about zinc nitrate, a white, crystalline salt with the formula zn (no3)2. enter a chemical formula to calculate its molar mass and elemental composition. learn how to calculate the molar mass of zn. Zinc Nitrate Molar Mass.
From www.numerade.com
SOLVED The GagnGve mol your the 2 answer molar formula to mass for Zinc Nitrate Molar Mass — learn how to calculate the molar mass of zn (no3)2, a chemical formula for. enter a chemical formula to calculate its molar mass and elemental composition. Find out its molar mass, solubility, production method,. Molar mass of zn(no3)2 = 189.3898 g/mol. learn how to calculate the molar mass of zn (no3)2 based on its chemical formula. Zinc Nitrate Molar Mass.
From www.chegg.com
Solved The chemical formula for zinc nitrate is Zn(NO3)₂ Zinc Nitrate Molar Mass Zn (no3)2 (zinc nitrate) has a molar mass of. — learn how to calculate the molar mass of zn (no3)2 by adding the molar masses of zinc, nitrogen and oxygen atoms. Watch a short video and. Molar mass of zn(no3)2 = 189.3898 g/mol. zinc nitrate is a colorless, crystalline solid with the formula zn (no 3) 2. . Zinc Nitrate Molar Mass.
From www.chegg.com
Solved The chemical formula for zinc nitrate is Zn(NO3), Zinc Nitrate Molar Mass Watch a short video and. — learn how to calculate the molar mass of zn (no3)2 by adding the molar masses of zinc, nitrogen and oxygen atoms. zinc nitrate is a colorless, crystalline solid with the formula zn (no 3) 2. Find out its molar mass, solubility, production method,. It has a molar mass of 189.3898 g/mol and. Zinc Nitrate Molar Mass.
From www.numerade.com
SOLVED The GagnGve mol your the 2 answer molar formula to mass for Zinc Nitrate Molar Mass learn how to calculate the molar mass of zn (no3)2 based on its chemical formula and atomic masses. zinc nitrate is a colorless, crystalline solid with the formula zn (no 3) 2. — learn how to calculate the molar mass of zn (no3)2 by adding the molar masses of zinc, nitrogen and oxygen atoms. It has a. Zinc Nitrate Molar Mass.
From www.glentham.com
Zinc nitrate hexahydrate (CAS 10196186) Glentham Life Sciences Zinc Nitrate Molar Mass Convert grams zinc nitrate to moles. Molar mass of zn(no3)2 = 189.3898 g/mol. zinc nitrate is a colorless, crystalline solid with the formula zn (no 3) 2. Watch a short video and. enter a chemical formula to calculate its molar mass and elemental composition. — learn how to calculate the molar mass of zn (no3)2 by adding. Zinc Nitrate Molar Mass.